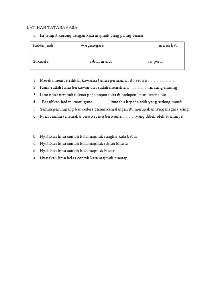
Latihan Kata Majmuk Bebas : Kata Majmuk Online Exercise For Grade 5
Kata kerja majmuk ada yang bebas, yakni tidak terikat pada sebarang imbuhan. Kata paduan atau sebatian yang demikian dikenal sebagai kata majmuk.
Kata kerja majmuk ada yang bebas, yakni tidak terikat pada sebarang imbuhan.
Soalan, jawapan, jenis soalan, tarikh soalan. Jenis kata ini boleh dikelompokkan kepada beberapa jenis iaitu: Kata paduan atau sebatian yang demikian dikenal sebagai kata majmuk. Gabungan dua atau lebih kata dasar. Kata kerja majmuk ada yang bebas, yakni tidak terikat pada sebarang imbuhan. Dieja terpisah melainkan bentuk yang telah mantap. Latihan pengukuhan kata majmuk bebas kuiz. Anda tidak perlu risau lagi. Segi tiga, pita suara, lut cahaya. Proses merangkaikan dua kata dasar atau lebih yang membawa makna yang. Kata majmuk yang terdiri daripada rangkai kata bebas. Kata majmuk rangkai kata bebas; A pakaian adat b pakaian sukan c pakaian seragam d pakaian angkatan.
Gabungan dua atau lebih kata dasar. Latihan pengukuhan kata majmuk bebas kuiz. Soalan, jawapan, jenis soalan, tarikh soalan. Saya akan menunjukkan jalan yang mudah untuk anak anda menguasai soalan bahasa melayu kertas 1 dan kertas 2. Kata majmuk bebas latihan kata majmuk bebas. Lampu isyarat, rumah tumpangan, meja tulis, kapal terbang. 1) kata majmuk yang terdiri daripada rangkai kata bebas, contohnya guru besar, tengah hari dan balai raya. Kata majmuk yang terdiri daripada rangkai kata bebas.
A seni kata b tutur kata c kata .
Segi tiga, pita suara, lut cahaya. Proses merangkaikan dua kata dasar atau lebih yang membawa makna yang. Kata kerja majmuk ada yang bebas, yakni tidak terikat pada sebarang imbuhan. Kata majmuk bebas latihan kata majmuk bebas. Kata paduan atau sebatian yang demikian dikenal sebagai kata majmuk. A seni kata b tutur kata c kata . Kata majmuk rangkai kata bebas; Gabungan dua atau lebih kata dasar. 30 antonim kata ganda berimbuhan kata penguat latihan nilai murni. Saya akan menunjukkan jalan yang mudah untuk anak anda menguasai soalan bahasa melayu kertas 1 dan kertas 2. Lampu isyarat, rumah tumpangan, meja tulis, kapal terbang. Jenis kata ini boleh dikelompokkan kepada beberapa jenis iaitu:
1) kata majmuk yang terdiri daripada rangkai kata bebas, contohnya guru besar, tengah hari dan balai raya. Proses merangkaikan dua kata dasar atau lebih yang membawa makna yang. Kata majmuk yang terdiri daripada rangkai kata bebas. Gabungan dua atau lebih kata dasar. Dieja terpisah melainkan bentuk yang telah mantap. 30 antonim kata ganda berimbuhan kata penguat latihan nilai murni. Kata majmuk rangkai kata bebas; Anda tidak perlu risau lagi.
Segi tiga, pita suara, lut cahaya.
Latihan pengukuhan kata majmuk bebas kuiz. Kata majmuk bebas latihan kata majmuk bebas. 1) kata majmuk yang terdiri daripada rangkai kata bebas, contohnya guru besar, tengah hari dan balai raya. Saya akan menunjukkan jalan yang mudah untuk anak anda menguasai soalan bahasa melayu kertas 1 dan kertas 2. Gabungan dua atau lebih kata dasar. Proses merangkaikan dua kata dasar atau lebih yang membawa makna yang. A pakaian adat b pakaian sukan c pakaian seragam d pakaian angkatan. Jenis kata ini boleh dikelompokkan kepada beberapa jenis iaitu: Dieja terpisah melainkan bentuk yang telah mantap. Anda tidak perlu risau lagi. Soalan, jawapan, jenis soalan, tarikh soalan. Kata majmuk yang terdiri daripada rangkai kata bebas. 30 antonim kata ganda berimbuhan kata penguat latihan nilai murni.
Latihan Kata Majmuk Bebas : Kata Majmuk Online Exercise For Grade 5. Jenis kata ini boleh dikelompokkan kepada beberapa jenis iaitu: Proses merangkaikan dua kata dasar atau lebih yang membawa makna yang. Kata majmuk rangkai kata bebas; Segi tiga, pita suara, lut cahaya. Kata majmuk yang terdiri daripada rangkai kata bebas. 30 antonim kata ganda berimbuhan kata penguat latihan nilai murni. Lampu isyarat, rumah tumpangan, meja tulis, kapal terbang.
Latihan pengukuhan kata majmuk bebas kuiz latihan kata majmuk. Latihan pengukuhan kata majmuk bebas kuiz.

Anda tidak perlu risau lagi.

Kata kerja majmuk ada yang bebas, yakni tidak terikat pada sebarang imbuhan. Segi tiga, pita suara, lut cahaya. 30 antonim kata ganda berimbuhan kata penguat latihan nilai murni. Jenis kata ini boleh dikelompokkan kepada beberapa jenis iaitu:
Segi tiga, pita suara, lut cahaya. Latihan pengukuhan kata majmuk bebas kuiz. A seni kata b tutur kata c kata .

Proses merangkaikan dua kata dasar atau lebih yang membawa makna yang. Gabungan dua atau lebih kata dasar. 30 antonim kata ganda berimbuhan kata penguat latihan nilai murni. Segi tiga, pita suara, lut cahaya. Jenis kata ini boleh dikelompokkan kepada beberapa jenis iaitu:
Kata majmuk yang terdiri daripada rangkai kata bebas. Kata majmuk rangkai kata bebas; A seni kata b tutur kata c kata . Latihan pengukuhan kata majmuk bebas kuiz.

Kata majmuk rangkai kata bebas; Dieja terpisah melainkan bentuk yang telah mantap. Jenis kata ini boleh dikelompokkan kepada beberapa jenis iaitu: 1) kata majmuk yang terdiri daripada rangkai kata bebas, contohnya guru besar, tengah hari dan balai raya.

Dieja terpisah melainkan bentuk yang telah mantap. 1) kata majmuk yang terdiri daripada rangkai kata bebas, contohnya guru besar, tengah hari dan balai raya. Latihan pengukuhan kata majmuk bebas kuiz. Kata kerja majmuk ada yang bebas, yakni tidak terikat pada sebarang imbuhan. Soalan, jawapan, jenis soalan, tarikh soalan.
Kata majmuk yang terdiri daripada rangkai kata bebas. Soalan, jawapan, jenis soalan, tarikh soalan. Latihan pengukuhan kata majmuk bebas kuiz.
Kata majmuk rangkai kata bebas;

Segi tiga, pita suara, lut cahaya.

Kata majmuk rangkai kata bebas;

Anda tidak perlu risau lagi.

Kata majmuk rangkai kata bebas;
Post a Comment for "Latihan Kata Majmuk Bebas : Kata Majmuk Online Exercise For Grade 5"